سوال 89دفترچۀتجربی(سوال 14 شیمی)،اردیبهشت1404
اگر تفاوت شمار اتمهای هیدروژن با اتمهای کربن در آلکان X، سه برابر نسبت شمار اتمهای هیدروژن به اتمهای کربن در آلکن Y و جرم مولی X، سی گرم بیشتر از جرم مولی Y باشد، تفاوت جرم بخار آب تشکیل شده از سوختن کامل 0.2 مول از هر یک از هیدروکربنها، برابر چند گرم است؟(H=1,C=12,O=16 g⋅mol−1)
1) 5.4
2) 10.8
3) 21.6
4) 43.2
پاسخ:
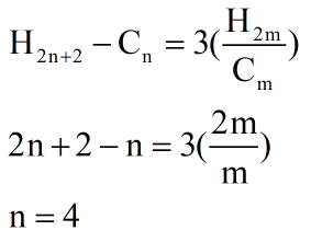
فرمول عمومی آلکانها (مانند آلکان X) به صورت CnH2n+2 بوده و فرمول عمومی آلکنها (مانند آلکن Y) به صورت CmH2m میباشد، پس با توجه به اینکه اتمهای تشکیلدهنده آنها یکی هست و تنها تفاوتشان در تعداد اتمهایشان هست، خواهیم داشت:

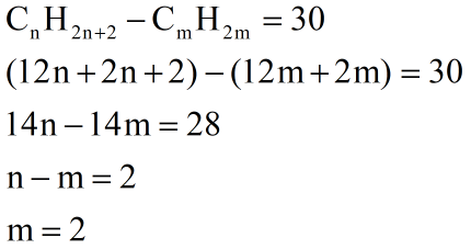
در نتیجه فرمول آلکان X به صورت C4H10 خواهد بود؛ از طرفی تفاوت جرم این دو هیدروکربن برابر 30 گرم است، پس با توجه به جرم مولی کربن و هیدروژن خواهیم داشت:

در نتیجه فرمول آلکن Y به صورت C2H4 میباشد، حال با استفاده از معادله سوختن آنها و استوکیومتری، تفاوت بخار آب تشکیل شده این دو هیدروکرن را به دست میآوریم:

بنابراین پاسخ گزینۀ 2 هست.
پیش نیاز لازم برای پاسخ به این تست:
- احاطه بر استوکیومتری
- احاطه بر مبحث هیدروکربنها
تحلیل سوال:
- استوکیومتری از مباحث پایه کنکور بوده که هر ساله، حدود 30 درصد کنکور به طور مستقیم و غیرمستقیم، حضور خود را در تستها نشان میدهد، در اینجا شاهد یک تست ترکیبی بین سوختن هیدروکربنها و استوکیومتری آنها بودیم.
بخش زیبای تست:
- به دست آوردن تعداد کربن و هیدروژن در دو فرمول با استفاده از نسبت آنها با هم، از زیباییهای این تست بود.
بخش دوست نداشتنی تست:
- ندارد، تست استانداردی بود.
برای دستیابی به نمره 20 امتحان نهایی و درصد بالای کنکور، به اندازۀ یک کلیک فاصله داری.
